EX2: CBC-GW Injection#

In this example we load an LVK posterior from zenodo and compute the FI evidence for the CBC model.

% load_ext autoreload
% autoreload 2
% matplotlib inline
UsageError: Line magic function `%` not found.
import bilby
import numpy as np
import os, shutil
from collections import namedtuple
import logging
import matplotlib.pyplot as plt
from funnel.plotting import plot_fi_evidence_results
from funnel.fi_core import get_fi_lnz_list

np.random.seed(42)

CLEAN = False
OUTDIR = 'out_gwinj'

if os.path.exists(OUTDIR) and CLEAN:
    shutil.rmtree(OUTDIR)
os.makedirs(OUTDIR, exist_ok=True)

Simple 2-parameter inferece#

Nested sampling LnZ Calculation#

bilby_logger = logging.getLogger("bilby")
bilby_logger.setLevel(logging.CRITICAL)

label = "injection"
res_fname = f"{OUTDIR}/{label}_result.json"

if not os.path.exists(res_fname):

    # Simulate signal
    duration, sampling_freq, min_freq = 4, 1024., 20
    injection_parameters = dict(
        mass_1=36.0, mass_2=29.0,  # 2 mass parameters
        a_1=0.1, a_2=0.1, tilt_1=0.0, tilt_2=0.0, phi_12=0.0, phi_jl=0.0,  # 6 spin parameters
        ra=1.375, dec=-1.2108, luminosity_distance=2000.0, theta_jn=0.0,  # 7 extrinsic parameters
        psi=2.659, phase=1.3,
        geocent_time=1126259642.413,
    )
    inj_m1, inj_m2 = injection_parameters['mass_1'], injection_parameters['mass_2']
    inj_chirp_mass = bilby.gw.conversion.component_masses_to_chirp_mass(inj_m1, inj_m2)
    inj_q = bilby.gw.conversion.component_masses_to_mass_ratio(inj_m1, inj_m2)

    waveform_generator = bilby.gw.WaveformGenerator(
        duration=duration,
        sampling_frequency=sampling_freq,
        frequency_domain_source_model=bilby.gw.source.lal_binary_black_hole,
        parameter_conversion=bilby.gw.conversion.convert_to_lal_binary_black_hole_parameters,
        waveform_arguments=dict(
            waveform_approximant="IMRPhenomD",
            reference_frequency=20.0,
            minimum_frequency=min_freq,
        )
    )

    # Inject the signal into 1 detectors LIGO-Hanford (H1) at design sensitivity
    ifos = bilby.gw.detector.InterferometerList(["H1"])
    ifos.set_strain_data_from_power_spectral_densities(
        sampling_frequency=sampling_freq,
        duration=duration,
        start_time=injection_parameters["geocent_time"] - 2,
    )
    ifos.inject_signal(
        waveform_generator=waveform_generator, parameters=injection_parameters
    )
    # We sample in chirp-mass and mass-ratio, however--these are quite un-astrophysical priors
    # but in post-processing convert to uniform-in-component masses
    priors = bilby.gw.prior.BBHPriorDict()
    for key in [
        "a_1",
        "a_2",
        "tilt_1",
        "tilt_2",
        "phi_12",
        "phi_jl",
        "psi",
        "ra",
        "dec",
        "geocent_time",
        "phase",
        "theta_jn",
        "luminosity_distance",
    ]:
        priors[key] = injection_parameters[key]
    priors["chirp_mass"] = bilby.gw.prior.UniformInComponentsChirpMass(
        minimum=inj_chirp_mass - 5,
        maximum=inj_chirp_mass + 5
    )

    # Perform a check that the prior does not extend to a parameter space longer than the data
    priors.validate_prior(duration, min_freq);

    likelihood = bilby.gw.GravitationalWaveTransient(
        interferometers=ifos,
        waveform_generator=waveform_generator,
    )

    result = bilby.run_sampler(
        likelihood=likelihood,
        priors=priors,
        sampler="dynesty",
        npoints=1000,
        dlogz=0.1,
        injection_parameters=injection_parameters,
        outdir=OUTDIR,
        label=label,
        conversion_function=bilby.gw.conversion.generate_all_bbh_parameters,
        result_class=bilby.gw.result.CBCResult,
    )

else:
    result = bilby.gw.result.CBCResult.from_json(filename=res_fname)
fig = result.plot_corner()
post = result.posterior[['mass_ratio', 'chirp_mass', 'log_prior', 'log_likelihood']]
lnz = result.log_evidence
lnz_err = result.log_evidence_err
fig
../_images/25bcff91e91af974cf03e8d2aff6be8cada050464093998d7d53b5588fffa132.png
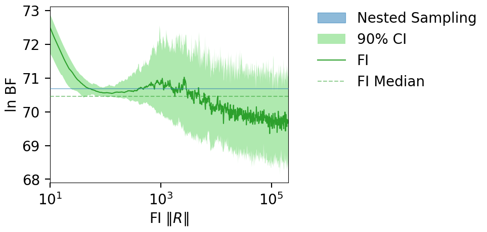
print(f"lnZ = {lnz:.2f} +/- {lnz_err:.2f}")
print(f"lnBF = {result.log_bayes_factor:.2f}")
lnZ = -1984.29 +/- 0.10
lnBF = 70.70

NOTE: the LVK stores the log-likelihood - noise log-likelihood in the column labeled ‘log-likelihood’. So, this time instead of computing the FI LnZ, we will compute the FI LnBF.

Compute FI evidence#

lnz_file = f"{OUTDIR}/lnz.npz"
lnzs, r_vals, _ = get_fi_lnz_list(post, r_vals=np.geomspace(1e1, 2e5, 1000), num_ref_params=100, cache_fn=lnz_file)
|funnel|INFO| Calculating FI LnZ with 100 reference points and a posterior of size: (2653, 2) 
plt_kwgs = dict(lnzs=lnzs, r_vals=r_vals, sampling_lnz=[result.log_bayes_factor])
fig = plot_fi_evidence_results(**plt_kwgs)
fig.tight_layout()
fig.gca().set_ylabel(r"ln BF");
../_images/8f0206cf2bffa540adf69f290a4570d2c6b0b691b4426614511001fd33325a20.png
fig = plot_fi_evidence_results(**plt_kwgs, plot_all_lnzs=True, plot_ci=False)
fig.tight_layout()
ax = fig.gca()
ax.set_ylabel(r"ln BF");
ax.set_xlim(1e1, 1e3);
ax.set_ylim(69.5, 73)
(69.5, 73.0)
../_images/8ef7335e0b8bc1d01cfbe93bfda5732d339c3684b58bde848c1d5577cfe28150.png

15-D parameter inference#

We download a pre-run LVK injection and run the FI LnZ computation on it. Link to result: https://zenodo.org/record/7884973

import bilby

# load the LVK posterior
FPATH = '128_cpus_v1_0_result.hdf5'

LVK_data = namedtuple("LVK_data", "posterior, lnz, lnz_err, lnBF")


def load_lvk_data(fpath):
    r = bilby.gw.result.CBCResult.from_hdf5(fpath)
    post = r.posterior
    sampling_params = r.search_parameter_keys + ['log_likelihood', 'log_prior', 'luminosity_distance']
    lnz, lnz_err = r.log_evidence, r.log_evidence_err
    lnBF = r.log_bayes_factor
    post = post[sampling_params]
    post = post.loc[:, post.nunique() > 1]
    return LVK_data(post, lnz, lnz_err, lnBF)


CBC_data = load_lvk_data(FPATH)
print(f"Posterior shape: {CBC_data.posterior.shape}")
print(f"LnZ: {CBC_data.lnz:.2f} +/- {CBC_data.lnz_err:.2f}")
print(f"LnBF: {CBC_data.lnBF}")
CBC_data.posterior.head().T
Posterior shape: (15196, 17)
LnZ: -16332.68 +/- 0.11
LnBF: 56.96249503300896
0 1 2 3 4
chirp_mass 17.303518 17.137896 17.406246 17.221114 17.224999
mass_ratio 0.640732 0.363822 0.475442 0.716670 0.535031
a_1 0.122786 0.126647 0.208230 0.124358 0.064088
a_2 0.294212 0.671431 0.858286 0.436716 0.239654
tilt_1 2.671935 1.089454 0.899129 2.487101 1.332991
tilt_2 0.617993 1.095211 1.673787 1.440678 1.530625
phi_12 5.277061 5.083531 0.924704 4.632946 5.622373
phi_jl 5.421349 0.331844 3.584094 4.388201 4.657011
cos_theta_jn 0.649265 -0.750138 -0.906039 -0.887552 -0.956641
psi 3.033949 1.530611 2.617934 1.037721 3.061500
phase 3.838546 4.858204 0.359604 1.671526 3.573420
azimuth 3.105585 2.906103 2.371659 2.250562 1.480921
zenith 0.552605 0.251147 0.141375 0.281922 0.242988
time_jitter -0.000104 0.000073 -0.000216 0.000176 0.000130
log_likelihood 59.964813 63.408287 63.456029 63.735976 63.985682
log_prior -7.725553 -6.777387 -7.630868 -7.647782 -7.011267
luminosity_distance 835.104547 644.254930 1117.045547 1151.937210 1433.822042

NOTE: the log-likelihood column is actually the lnl-noise Lnl (the log-likelihood-ratio).

Compute FI LnZ#

def run_fi_computer(CBC_data, frac_samp=0.1, n_ref_points=1000, outdir='out_inj_downsampled', clean=False):
    if os.path.exists(outdir) and clean:
        shutil.rmtree(outdir)
    os.makedirs(outdir, exist_ok=True)

    # USING DOWNSAMPLED POSTERIOR SAMPLES
    n_total = len(CBC_data.posterior)
    n_samp = int(n_total * frac_samp)

    post = CBC_data.posterior.sample(
        n_samp,
        weights=np.exp(CBC_data.posterior.log_likelihood)
    )
    print(f"Using {100 * frac_samp:.2f}% of posterior, and {n_ref_points} reference points.")
    lnzs, r_vals, _ = get_fi_lnz_list(
        post,
        num_ref_params=n_ref_points,
        r_vals=np.geomspace(10, 1e9, 100),
        cache_fn=f'{outdir}/lnzs.npz',
        weight_samples_by_lnl=True,
    )
    return lnzs, r_vals

Using a downsampled posterior#

OUTDIR = 'out_inj_downsampled'
CLEAN = False
lnzs, r_vals = run_fi_computer(CBC_data, frac_samp=0.1, n_ref_points=1000, outdir=OUTDIR, clean=CLEAN)
Using 10.00% of posterior, and 1000 reference points.
plt_kwgs = dict(lnzs=lnzs, r_vals=r_vals, sampling_lnz=[CBC_data.lnBF])
fig = plot_fi_evidence_results(**plt_kwgs, plot_all_lnzs=True, plt_kwgs=dict(alpha=0.01))
fig.gca().set_ylabel("lnBF");
../_images/80f3140c30eff7ce8aee4071afc838aaf521286034798d44986a16b5fa4e8254.png
def histogram_fi_lnzs(lnzs, rvals, rval_threshold, true=None):
    idx = np.argmin(np.abs(rvals - rval_threshold))
    lnz = lnzs[:, idx:].ravel()
    print(f"%samples above {rval_threshold}: {len(lnz)/len(lnzs.ravel()) * 100:.2f}")
    fig, ax = plt.subplots(1, 1, figsize=(5, 4))
    ax.hist(lnz, bins=100, density=True, histtype='step', lw=2, color='tab:green')
    if true is not None:
        ax.axvline(true, ls='--', color='tab:blue', lw=2)
    ax.set_xlabel(r"FI lnBF")
    ax.set_ylabel("pdf")
    return fig

fig = histogram_fi_lnzs(lnzs, r_vals, rval_threshold=1e7, true=CBC_data.lnBF)
%samples above 10000000.0: 26.00
../_images/0dd80da4fc9c3d5c0ae88433339ec8c84a57c5ac211d6d0cdce8f846f3f22c39.png
fig = plot_fi_evidence_results(**plt_kwgs, plot_all_lnzs=True, plot_ci=False, plt_kwgs=dict(alpha=0.01))
ax = fig.gca()
ax.set_ylabel("lnBF");
ax.set_xlim(1e4, 1e6);
ax.set_ylim(45, 70);
../_images/8de89a8847a98d5a29e3563b5cdb4f031db450f4c8398a0c829430232e878055.png

Using full posterior sample (fewer reference points)#

OUTDIR = 'out_inj2'
CLEAN = False
lnzs, r_vals = run_fi_computer(CBC_data, frac_samp=1, n_ref_points=100, outdir=OUTDIR, clean=CLEAN)
|funnel|INFO| Calculating FI LnZ with 100 reference points and a posterior of size: (15196, 15) 
Using 100.00% of posterior, and 1000 reference points.
plt_kwgs = dict(lnzs=lnzs, r_vals=r_vals, sampling_lnz=[CBC_data.lnBF])
fig = plot_fi_evidence_results(**plt_kwgs, plot_all_lnzs=True, plt_kwgs=dict(alpha=0.01))
fig.gca().set_ylabel("lnBF");
../_images/24e044f6c4306961473146932d8cbf11e169a2dd6e558acc9667f752cfa474f3.png